Takaisin etusivulle
2.asteen yhtälön ratkaisija
Ratkaise
A:
B:
C:
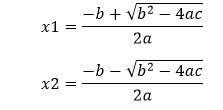
RatkaisuX1:
RatkaisuX2: